最近,大家有没有在网络上,刷到这只对着“胡萝卜”“纸巾”乃至“米老鼠”不知所措的小猫?
这是源于博主@超级无敌大开门 对猫猫的日常训练视频。博主在猫猫面前放了“胡萝卜”“纸巾”等物品,并希望猫猫能够在她指示物品名字的时候,准确辨认出物品。每当猫猫准确的将爪子放在对应的物品上,博主便会开心的夸赞猫猫:“真棒!”,并提供小零食作为奖励。

然而,猫猫明显并未完全联系起“胡萝卜”“纸巾”等称呼所对应的物品,而是在是试探性地伸爪后,抬头“猫猫祟祟”“小心翼翼”地观察主人,如果主人再次重复物品的名称,则再次试探性地把爪子放到另一个位置,直到触发主人那激动的“真蚌!”,并成功获得奖励。
在对猫猫的长期训练中,猫猫真的能理解眼前的胡萝卜玩具=“胡萝卜”吗?
当我们反复对猫猫说“纸巾”的时候,猫猫会知道纸巾长什么样吗?

2024年的一项研究,利用原本用于测试8-14个月大人类婴儿的“转换刺激任务”,挖掘了猫的跨模态关联能力。
对猫猫的测试分为两个阶段。第一个阶段是习惯阶段,研究者给猫猫呈现太阳的图像,并同时电脑播报一串无意义的语音Parumo,给猫猫呈现画面和语音的组合;7秒后,切换乌云的图像,并播报另一端无意义的语音Keraru。如此循环太阳和乌云的图像及其对应的语音组合,直到每只猫都习惯了(猫猫的对屏幕切换的注意时间降低到最初的50%以下)。
第二个阶段是切换阶段,一半的猫猫将会继续被播放相同的画面组合,而另一半猫猫被播放的,将是与习惯阶段相反的画面语音组合,也就是太阳图案时播放Keraru,乌云图案时播放Parumo。

研究人员通过研究切换阶段中猫猫对屏幕的注意时间,来判断猫猫是否能认识到语音和图像的对应,若猫能快速建立声音与图片的联想,它们将察觉组合变化,从而延长注视时间。
结果发现,在习惯阶段,几乎所有猫在试验期间都会逐渐缩短它们的观察时间。而在切换阶段,猫在声音与图片对不上时,观察显示器的时间更长。这些结果表明,猫通过形成文字图像关联,检测出图片和声音组合的切换。

在声音与图片对不上时,猫猫观察显示器的时间更长
同时,研究者还对比了人类语音播报和电子音效,对猫猫建立图像语音关联的影响。实验发现,电子音效同样能让猫猫建立图片-词语联想,但猫在听到人类语音时建立关联的能力表现得更强、更明显(统计显著),而在电子音条件下这种表现较弱(统计不显著)。
当然,关于猫猫的实验总是有些困难的。一只猫在试验中逃逸,另一只猫在试验中大吼大叫,因此停止了实验。

猫主子:想让我乖乖坐在这儿吗?
总的来说,通过这个实验,我们发现猫只需短暂接触就能迅速形成图片-词语联想,且这种联想不受声音类型的影响。
不过,猫猫在图片-词语不匹配时视线时间的增加,与准确认知到到底“胡萝卜”长什么样,或许还有一段路要走…
猫在理解人类视线作为一种指引性信号方面,表现出了极高的灵活性。
研究人员测试了41只猫跟随人类目光寻找隐藏食物的能力。每次实验前,实验者都会拿起两个碗,将一小块食物放入其中一个碗中。猫咪并不知道哪个碗里有食物,因为在将碗放回地面之前,实验者会在自己面前将两个碗在空中左右交换了几次。

实验设置了两种难度的信号:一种是“持续注视”,即实验者的头和眼睛始终指向藏有食物的容器;另一种是更具挑战性的“瞬间注视”,即实验者在短暂看一眼容器后迅速将视线转回前方。
实验结果显示,猫通过追随人类视线,能以显著高于随机水平的成功率找到隐藏的零食,成功率为70.42%,且表现非常稳健,并不受注视类型难度的影响。


在其他的影响因素中,研究发现一岁以下的幼猫在成功率上优于成年猫,这暗示了好奇心或发育早期的社交敏感度在认知习得中扮演了关键角色 。

猫的年龄与猫成功找到食物之间的趋势关联
在发出注视信号前,实验者会先吸引猫猫的注意。半数试验采用显性注意诱发手段,如呼唤猫猫名字、"Look!";而另一半试验中,实验者采用非显性信号作为注意力诱发器——即舌头发出的咔嗒声。
尽管显性指示声音提示并未影响猫的成功率,但指示行为确实影响了猫建立眼神接触的潜伏期。当实验者使用显性指示信号与猫互动时,猫咪在听到信号时建立眼神接触的速度更快。

对猫而言,显性指示信号可能有助于唤起特定情境记忆——即它们曾学习到某种奖励(如食物)会伴随特定注意诱发行为出现。但猫在指示性信号条件下的成功率并未提升,这和狗狗很不一样,狗狗在人类发出显性信号时才会专注于社交互动。
在另一个猫猫乞食的实验中,实验设置了三种不同动作:纯视觉条件——行为者静默注视猫咪与侧身静默;视觉与听觉条件——行为者注视并呼唤猫咪与静默注视;纯听觉条件——行为者俯身呼唤猫咪与俯身静默。在视觉与听觉条件下,猫咪更倾向于选择呼唤它们的行为者。在纯视觉与纯听觉条件下,猫的注意状态均无明显偏好。结果表明,猫仅在人类注视它们时,才能利用声音线索识别人类对其的注意。
总的来说,猫猫能从人类的视线中获取信息。
猫猫能将语音图像关联,那它们能知道名字对应自己、乃至对应自己的猫同伴吗?
为了研究猫猫能否辨别人类发出的三类声音:猫自身名字、通用名词以及同住猫猫的名字,研究者进行了一系列实验。
研究者连续播放四个与猫的名字长度、重音相似的普通名词,让猫产生“习惯化”(即反应逐渐减弱)。当第五次播放猫的真实名字时,大多数猫表现出了明显的反应反弹,如耳部和头部的转动。
更深入的研究发现,即使呼唤者是完全陌生的实验者,生活在普通家庭中的猫依然能准确辨识出自己的名字。这证明猫对名字的理解不仅仅是对主人声音频率的条件反射,更是对特定词汇音素序列的记忆与分类。

在不同实验中,猫猫对每个声音的响应均值
该如何解释猫咪的这种能力和行为?它们自己的名字必定是猫咪听过最多的人类发声之一。如果名字毫无意义,那么频繁接触的刺激本应产生习惯效应,不会再引发猫咪的反应。然而实验结果恰恰相反,这表明听到名字与获得奖励或惩罚之间的关联可能影响猫的行为。这意味着猫的名字可能与奖励(如食物、抚摸、玩耍)或惩罚(如带去诊所或洗澡)产生联结。
有趣的是,这一能力在“猫咖”环境下生活的群体中表现出微妙的差异。虽然猫咖里的猫依然能区分名字与名词,但它们往往无法将自己的名字与同伴的名字区分开。这并非认知缺陷,而是环境强化的结果:在猫咖中,多只猫经常被访客同时呼唤,且奖励(零食、抚摸)往往是不加区分地发放给群体中的任何一个个体。这种“竞争性奖励”导致了声音信号与特定个体之间关联的混淆 。
总的来说,普通家庭的猫能将自身名字与普通词汇及其他猫的名字区分开来,这是证明猫理解人类语言表达能力的实验证据。
在萝卜纸巾大问答里,给人印象深刻的便是主人那开心的“蒸蚌!”。猫猫能不能像我们一样,捕捉到主人于其中的鼓励和乐观呢?
一个研究团队做了这样一个实验:猫猫在看到物体时,是否会表现出参考性观察(在观察物体前后立即面向主人),主人对物体表达的情感信息是否有对动物行为的影响,并评估猫是否会受到其主人对物体的明显回避行为的影响。




第一阶段猫猫的观察行为,反映的是猫在面对模糊刺激时是否进行了参考性观察(即看向主人并参考主人行为)。结果表明,79%的猫将目光转向主人和风扇,54%的猫表现出凝视交替(即看向风扇-主人-风扇-主人…)。这一比例与狗狗很相似,这表明当猫咪面对一个模糊的物体时,它们会像狗一样向主人看去。
到了第二第三阶段,当主人对物体表现出负面反应时,猫在房间内屏幕和风扇之间交替注视的可能性和频率均更高。房间内的屏幕是唯一的逃生途径,因此猫先注视屏幕再注视风扇的行为,可能表明它们对风扇感到担忧并试图远离。
另外,负面组猫咪在第二阶段,倾向于比正面组猫咪更早开始移动,这可能表明当主人表达负面情绪时,它们比正面对照组猫咪更早开始寻找逃生路线。负面组的猫在与主人互动时的频率也高于积极组中的猫,这可能表明它们正在向主人寻求安全保障。

然而,在所有的阶段中,负面组的猫猫都表现出了对屏幕与风扇之间的凝视变化,以及与主人更高互动频率,包括第一阶段。主人在第一阶段时没有传递任何情绪信号,猫猫却仍按照主人负面情绪时反应,这可能是负面组中的主人在第一阶段无意中实施了“负面”行为,而猫则捕捉到了这些细微线索,从而变得不安。
在第四阶段中,哪怕主人对风扇表现得非常积极,也只有极少数的猫猫接近了风扇。说明猫能区分主人对风扇的反应,但不会根据主人的情绪表达或行为调整自身与风扇的距离。

总而言之,猫猫能够感受到主人表现出的积极或者消极表现(甚至比主人本人更敏锐),并在主人表现负面的时候更早的移动、更多的与主人互动。
每一次听到猫主人说“真蚌!”,小编都会觉得猫猫有被狠狠夸到。有这样好的主人,猫猫一定很爱吧!
实际上,猫猫对饲养者确实存在类似人类婴儿或狗狗那样的依恋关系。研究者们通过与人类婴儿或狗狗类似的实验,验证了猫猫的依恋性。
在“安全基地测试”(SBT)中,研究人员将猫置于一个完全陌生的房间,猫猫先与照料者在陌生房间共处2分钟,随后经历2分钟独处阶段,最后进入2分钟重聚阶段。
当照料者短暂离开后返回时,具有安全型依恋(securely)的猫猫表现出较低的应激反应,并与照料者保持接触与探索的平衡;而具有不安全型依恋的猫猫则持续处于应激状态,并表现出过度寻求亲近(矛盾型依恋ambivalent)、回避行为(回避型依恋avoidant)或接近/回避冲突(混乱型依恋)等行为。
实验发现,64.3%的幼猫和65.8%的成年猫表现出“安全型依恋”。 35.7%的幼猫被判定为不安全型依恋。在不安全型依恋的幼猫中,84%表现为矛盾型,12%表现为回避型,4%表现为混乱型。

(A) 幼猫和成年猫中观察到的三种主要依恋模式比例。(B) 具有安全型依恋的猫。(C) 具有不安全-矛盾型依恋的猫。(D) 具有不安全-回避型依恋的猫。
这些多样化的依恋风格证明了猫在社交层面上的个体差异极其显著,绝非单一的“傲娇”“冷漠”可以概括 。


附加环节:
如果大家最近还刷到过“萝卜”“纸巾”,就会发现,别笑,你也认不出来,每个人都有属于自己的“萝卜”“纸巾”

源自up主“宋总不怕揍”
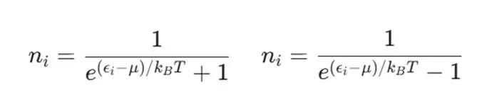
就让小编给大家出一个物理所的萝卜纸巾题目吧!
以下谁是费米-狄拉克分布?

希望大家在评论区作答~同时欢迎大家分享属于自己的萝卜纸巾
参考文献
[1] Takagi, S., Koyasu, H., Nagasawa, M. et al. Rapid formation of picture-word association in cats. Sci Rep 14, 23091 (2024).
[2]Pongrácz P, Szapu J S, Faragó T. Cats (Felis silvestris catus) read human gaze for referential information[J]. Intelligence, 2019, 74: 43-52.
[3] Ito, Y., Watanabe, A., Takagi, S., Arahori, M. & Saito, A. Cats beg for food from the human who looks at and calls to them: Ability to understand humans’ attentional states. Psychologia 59, 112–120, (2016).
[4] Saito, A., Shinozuka, K., Ito, Y. et al. Domestic cats (Felis catus) discriminate their names from other words. Sci Rep 9, 5394 (2019).
[5] Merola, I., Lazzaroni, M., Marshall-Pescini, S. & Prato-Previde, E. Social referencing and cat-human communication. Anim. Cogn. 18, 639–648, (2015).
[6] Vitale K R, Behnke A C, Udell M A R. Attachment bonds between domestic cats and humans[J]. Current Biology, 2019, 29(18): R864-R865.
[7]https://mp.weixin.qq.com/s/yy8eAQy7OOLiyT4hH3EPYg
本文转自中科院物理所(ID:cas-iop),未经授权不得二次转载,如有转载需求请联系原公众号。
编辑:四月