
上新啦!
复旦大学科技工作者
近期又取得了一系列
瞩目的成果与突破
小编整理了12月部分科研成果
速速一睹为快!
科技期刊发展
我校3本期刊入选中国科技期刊卓越行动计划二期高起点新刊项目
2025年11月26日,中国科技期刊卓越行动计划办公室公布年度高起点新刊项目入选名单。由我校主办的《科技伦理研究》《健康促进》《泛血管交叉(英文)》三本期刊成功入选,学校也成为本年度上海市唯一入选该计划的高校。此次入选,充分体现了学校在相关学科领域的深厚积淀与扎实的办刊能力,为我校建设高水平科技期刊集群奠定了坚实基础。
新闻链接:
https://mp.weixin.qq.com/s/0eFZX-zVZsHfkEGEIMVnXA
科研奖励
六位复旦老师荣获“上海科技青年35人引领计划”
12月28日,第五届“上海科技青年35人引领计划”颁奖典礼举行。活动现场揭晓35名获奖者及15名提名奖获得者名单,汇聚来自人工智能、生物医药、集成电路、量子信息、低碳能源等前沿领域的青年科技英才,其中包括6位复旦老师,分别是:

新闻链接:
https://mp.weixin.qq.com/s/KfrltglO0O7UitPe2IBI3A
科研进展
交叉领域
湿热天气,正在悄悄威胁城市精神健康!
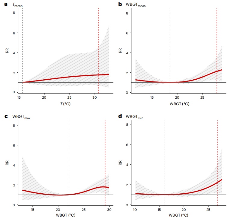
作为地球气候系统的“晴雨表”,天气变化不仅影响着自然环境与生态平衡,更与人类身心健康息息相关。近日,复旦大学大气与海洋科学系袁嘉灿研究团队聚焦全球变暖背景下的湿热天气,揭示了其对城市居民精神健康的显著影响——尤其是夜间湿热,会大幅加剧精神与行为障碍(MBDs)的发病风险。相关研究以“Projecting the morbidity burden of mental and behavioral disorders associated with increasing humid heat in Shanghai”为题,与2025年12月2日发表于Nature Mental Health。
该项研究通过气象观测数据、气候模型模拟与健康数据的交叉分析,不仅揭示了湿热天气与精神健康的关联机制,更体现了大气科学在公共卫生领域的应用价值——精准的气候监测与未来情景模拟,能为健康防护计划制定提供科学支撑。

图:上海地区(a)日平均气温、(b)日平均湿球黑球温度(WBGT)、(c)日最高WBGT及(d)日最低WBGT与精神行为障碍(MBDs)住院病例的暴露-响应关联曲线。
新闻链接:
https://mp.weixin.qq.com/s/F1QIpQ3Ims6mnGUkBD5tdw
原文链接:
https://www.nature.com/articles/s44220-025-00519-y?sessionid=
数学物理领域
1.揭示扩散系统中的时间调制反宇称时间对称性
针对近年来扩散超构材料大多仍停留于“静态范式”的瓶颈,复旦大学物理学系/应用表面物理全国重点实验室黄吉平教授课题组与新加坡国立大学仇成伟教授课题组合作提出并实验验证了“时间调制反宇称时间对称性”原理,首次在对流-扩散体系中实现温度波包的按需双向输运与定点俘获,既可随对流顺流而下,也可逆流而上,并可在任意目标位置精准锁定。相关研究成果以“Temporal anti-parity-time symmetry in diffusive transport”为题,于2025年12月10日发表于Nature Physics。
该研究将扩散体系中的非厄米物理从“静态相”拓展至“可编程的时空脚本”,以“能量镊子”的形式为按需能量管理提供了全新工具,展示了在智能热管理中的直接应用前景,有望在微电子与算力系统中将冷却能量主动引导至关键单元,在热电与可再生能源领域通过动态塑造温差场突破静态效率瓶颈。

图:工程设计时间调制反宇称时间对称性。a, 传统反宇称时间对称性:抑制对流实现局域俘获,热波包随时间逐渐衰减。b, 时间调制反宇称时间对称性:在相同对流条件下可编程地顺流/逆流输运温度波包,并在任意位置锁定。c, 实验平台与时序协议:三同心旋转环与介质/速度的同步切换,深度学习预测最优切换时刻。
新闻链接:
https://phys.fudan.edu.cn/9a/21/c7609a760353/page.htm
原文链接:
https://doi.org/10.1038/s41567-025-03129-8
2.实现维格纳晶体的亚原子级成像
在不依赖极端条件、且避免探针扰动的情况下,直接原子尺度观测维格纳晶体的形成与有序电子排列仍然是一个尚未解决的科学问题。2025年12月23日,复旦大学物理学系高春雷课题组和沈健/殷立峰课题组合作,利用全新的“电荷转移-电子结晶”策略,将具有重电子、极平带、强关联特性的稀土4f二维单层YbCl3与HOPG构筑异质结,利用电荷转移将电子注入Yb的4f轨道平带,实现了本征的维格纳晶体。在此基础上,利用高灵敏度的Q-plus 原子力显微镜(AFM)实现了维格纳晶体的亚原子级成像。相关研究成果以“Intrinsic Heavy Wigner Crystal Forged by Transferred 4f Electrons”为题,发表于Physical Review Letters。
当针尖施加电场扰动后,还观察到了维格纳晶体的集体运动和重新排布,突显了维格纳晶体的量子特性和电子间的长程关联。实验结果不仅为维格纳晶体研究提供了一个无需极低温、无需强磁场、无需复杂转角调控的实验体系,还为维格纳晶体的微观研究奠定了方法学基础。

新闻链接:
https://phys.fudan.edu.cn/ae/eb/c7609a765675/page.htm
原文链接:
https://doi.org/10.1103/h96x-9d3y
化学材料领域
1.过渡金属催化的Type II型全碳反电子需求[4+2]环加成反应研究进展
2025年12月5日,复旦大学化学系蔡泉课题组为解决不对称全碳反电子需求Diels–Alder反应中,如何稳定二烯并逆转其本征反应活性的关键问题,发展了配位稳定/促进环化策略,首次实现了吸电子取代基位于C1位的缺电子二烯参与的不对称Type II型反电子需求Diels–Alder反应。该研究成果以“Transition metal-catalysed [4+2] cycloadditions of Morita–Baylis–Hillman carbonates with 1,3-dienes and 1,3-enynes”为题,发表在Nature Catalysis上。
研究团队利用简单易得的Morita–Baylis–Hillman碳酸酯为双烯前体,在Ni(0)/手性单膦配合物催化下,原位生成不稳定2-酯基-1,3-丁二烯,利用低价镍金属催化剂的配位作用,或是钯催化体系,实现一系列对位取代环己烯类衍生物以及多取代手性1,4-环己二烯衍生物的高效合成。

新闻链接:
https://chemistry.fudan.edu.cn/98/42/c45206a759874/page.htm
原文链接:
https://doi.org/10.1038/s41929-025-01452-0
2.复旦大学原创醇酯体系储氢技术获评国际领先,为氢能产业提供中国方案
2025年11月30日,复旦大学朱义峰青年研究员/包信和院士团队开发了基于1,4-丁二醇(BDO)/γ-丁内酯(GBL)循环体系的氢能关键技术,通过了科技成果评价会,被专家组一致认定为国际领先水平。该团队首创新型醇酯储氢体系、开发了液流储氢新概念和新工艺,同时实现了工业副产氢一步分离与储存。相关技术已在中试装置中实现单管连续运行超过2000小时,BDO-GBL循环选择性达99.9%,副产氢处理单程转化率为94%。成果形成多项自主知识产权并发表于Nature Energy。
评价组认为,该成果具有原创性,属国际领先水平,并在储氢体系、催化剂开发、工艺创新及系统集成等多个层面实现原创性突破。该成果有望发展成一种具备中国特色且先进可行的氢储运体系,将为我国构建自主可控的氢能产业体系提供关键支撑。尤为重要的是,该技术路线将与我国雄厚的BDO化工产业基础无缝衔接,实现技术升级与产业转型的协同共赢。

新闻链接:
https://chemistry.fudan.edu.cn/98/1b/c45206a759835/page.htm
原文链接:
https://www.nature.com/articles/s41560-025-01806-9
新工科领域
1.提出针对量子纠错码的量子子空间验证方案
2025年12月3日,复旦大学未来信息创新学院电磁波信息科学教育部重点实验室周游与清华大学、芝加哥大学、香港大学的合作者在量子态验证(Quantum State Verification)与量子纠错(Quantum Error Correction)领域取得重要进展。相关成果以“Quantum Subspace Verification for Error Correction Codes”为题,发表在量子物理领域权威期刊Physical Review X quantum上。
为了解决如何高效且准确地验证量子纠错码的编码空间中的量子态是否正确的难题,研究团队提出了全新的“量子子空间验证(Quantum Subspace Verification)”理论框架,实现了对量子纠错码的编码空间及逻辑魔力态(Logical Magic States)的高效且鲁棒的验证。这一结果对未来大规模量子纠错实验验证具有重要作用。

新闻链接:
https://mp.weixin.qq.com/s/dA9oNqnPAAVwB9iHiBDmGw
原文链接:
https://journals.aps.org/prxquantum/abstract/10.1103/fyw6-lq1l
2.在芯片EDA多物理场计算技术上取得重要进展
先进集成芯片分层互连线的宽频带电磁建模精度与计算效率,是影响先进封装设计优化与信号完整性评估的关键问题。针对该问题,吴语茂团队于2025年12月10日,在国际期刊IEEEJournal on Multiscale and Multiphysics Computational Techniques发表题为“An Efficient Electromagnetic Computation Method for High-Density Multilayer Interconnects in Integrated Chips”的研究成果。
其对芯片级电感器件、多层介质封装互连等典型集成芯片互连线结构进行高效的电磁计算和信号完整性分析,宽频带端口参数的计算误差较商业软件HFSS为5.16%,计算未知量较HFSS降低两个数量级。开发的电磁求解器为电子设计自动化流程提供了有效的仿真验证工具。

新闻链接:
https://mp.weixin.qq.com/s/Qce5yRHw5oIF6pH-FE3XuA
原文链接:
https://ieeexplore.ieee.org/document/11293757
3.提出面向在线社区推荐系统的通用模拟基础框架
为了解决现有模拟方法模拟智能推荐算法对在线社区的影响研究上通用性、建模精度与计算可扩展性之间难以兼顾的问题,2025年12月15日,复旦计算与智能创新学院卢暾、张鹏、顾宁团队在信息系统领域国际顶级期刊ACM Transactions on Information Systems(ACM TOIS,CCF A类国际学术期刊)发表研究论文“RECOSIM: A Universal, Accurate, and Scalable Simulation Framework for Online Community Recommendations”。
该工作基于大模型多智能体协同与使用满足理论(UGT)提出了一种面向在线社区推荐系统的通用模拟基础框架RECOSIM,为在虚拟环境中系统研究“推荐算法-用户行为-社区结构”的协同演化提供了可扩展的实验平台,标志着在线社区智能传播生态系统方向上的重要原创性进展。
作为一项面向在线社会的智能传播生态系统的基础性研究成果,RECOSIM为在“可控虚拟社会”中系统研究推荐算法的社会影响提供了新的技术路径,具有重要的方法论意义。

新闻链接:
https://mp.weixin.qq.com/s/3nd2K4kMmFby2E_m6K8f0Q
原文链接:
https://dl.acm.org/doi/10.1145/3768342
4.基于能带工程和缺陷优化实现高质量磁性拓扑半金属
为了解决MnBi2Te4及其Sb掺杂体系Mn(Bi1-xSbx)2Te4在晶体生长中的反位缺陷问题,2025年12月18日,复旦大学微纳电子器件与量子计算机研究院张成课题组联合东南大学苗霖课题组、宁波东方理工大学周通课题组,通过第一性原理计算与材料合成工艺创新的协同研究,成功发展出一种优化化学气相传输(OCVT)生长方法,显著降低了Mn(Bi1-xSbx)2Te4晶体中的反位缺陷密度。相关研究成果以“Defect Engineering for Stabilizing Magnetic and Topological Properties in Mn(Bi1-xSbx)2Te4”为题,发表于Nature Communications。
该工作首次在该体系中同步实现了高质量的磁序调控、费米能级的精准调节以及本征拓扑量子态的稳定化,并厘清了反位缺陷在调控Mn(Bi1-xSbx)2Te4层内/层间磁交换耦合及能带拓扑中的核心作用,为今后在体材料与纳米器件中研究拓扑与磁性的耦合、开发新型拓扑电子器件开辟了广阔前景。

图(a)-(b) OCVT生长方案的示意图及温区设置;(c)-(d) OCVT方法制备的Mn(Bi1-xSbx)2Te4晶体与文献中常规生长方法所得晶体的磁学性质对比(奈尔温度TN和饱和磁化强度Msat)
新闻链接:
https://inqc.fudan.edu.cn/9f/c0/c18367a761792/page.htm
原文链接:
https://www.nature.com/articles/s41467-025-67774-6
生命医学领域
1.创新破解腔面型乳腺癌耐药后治疗困境
2025年12月4日,复旦大学附属肿瘤医院乳腺肿瘤中心主任兼多学科综合诊治团队首席专家邵志敏教授领衔团队,在国际顶级期刊Cancer Cell发布一项名为LINUX的多中心、随机、对照Ⅱ期平台临床试验研究成果。该研究成果聚焦晚期腔面型乳腺癌患者耐药后的治疗困局,依托乳腺癌精准治疗协作组(BCTOP),基于“复旦腔面型乳腺癌四分型”模型,通过对多组学数据深度挖掘,揭示疾病的内在异质性,建立起可供临床转化的“复旦腔面型乳腺癌四分型”分子分型系统。同时首次运用AI模型驱动临床研究,找到免疫调节型和RTK驱动型的腔面型乳腺癌患者精准治疗靶点,通过匹配相应靶向药物,疗效提升2-3倍。
通过系列化的临床研究布局,首次前瞻性证实“分型精准、靶点有效、治疗对路、疗效提升”,形成临床研究-精准分型-治疗靶点-疗效验证的科学问题创新研究闭环。

新闻链接:
https://shmc.fudan.edu.cn/news/2025/1208/c1892a147649/page.htm
原文链接:
https://www.cell.com/cancer-cell/fulltext/S1535-6108(25)00496-9
2.揭示肠杆菌科3′UTR衍生小RNA的进化起源与功能重塑机制
细菌中源自mRNA的sRNA常与其“母本”mRNA所编码的蛋白形成协同调控,但其遗传起源与适应性进化机制长期未被系统解析。2025年12月4日,复旦大学基础医学院王川团队在Proceedings of the National Academy of Sciences of the United States of America(PNAS)发表题为“Origin and adaptive evolutionary trajectory of the 3′UTR-derived sRNA UhpU in Enterobacteriaceae”的研究论文,系统揭示了肠杆菌科3′UTR衍生型sRNA——UhpU的进化起源、功能重塑路径及其在细菌碳源代谢调控中的关键作用。
本研究揭示了一个细菌mRNA衍生sRNA的形成与适应性重塑的完整演化过程,展示了编码序列同义突变与非编码序列变化在细菌进化中的重要作用,为理解非编码RNA的起源提供了新的理论框架。

新闻链接:
https://shmc.fudan.edu.cn/news/2025/1208/c1892a147648/page.htm
原文链接:
https://www.pnas.org/doi/10.1073/pnas.2513802122
3.提出SpatialEx,仅凭H&E预测高分辨率空间多组学
为了解决空间多组学流程复杂、成本高以及商用平台视野限制等问题,复旦大学类脑智能科学与技术研究院/附属浦东医院原致远团队,联合吉林大学计算机科学与技术学院管仁初教授、丰小月教授等于2025年12月17日在Nature Methods上发表题为“High-Parameter Spatial Multi-Omics through Histology-Anchored Integration”的研究论文。该研究提出了SpatialEx 和 SpatialEx+ 计算框架,实现了单细胞分辨率的高参数空间多组学数据的计算重建,降低了空间多组学技术壁垒。
SpatialEx结合H&E基础模型、超图学习框架与对比学习策略,能够直接依据常规H&E组织切片,在全切片范围内预测出单细胞分辨率的空间组学数据。在SpatialEx的基础上,SpatialEx+引入原创性的组学循环(omics cycle)模块,通过将多个切片上训练的 SpatialEx 模型进行高效链接,可以实现:(1)不同基因面板之间的跨维度信息补全;(2)多组学之间的联合约束与一致性增强。本研究为未来的空间多组学研究提供了一个强大、通用且成本效益高的计算解决方案。

新闻链接:
https://mp.weixin.qq.com/s/MLrUlAaevOCx8OuPeHJoRQ
原文链接:
https://www.nature.com/articles/s41592-025-02926-6
4.临床研究成果提升“最毒乳腺癌”高危患者疗效
2025年12月23日,国际四大医学顶刊之一British Medical Journal(BMJ)在线发表一项由肿瘤医院乳腺外科邵志敏教授领衔团队完成的CITRINE III期临床研究成果。该研究旨在打破最具复发风险的早期三阴性乳腺癌高危患者“千人一面”的治疗困局,临床研究发现,试验组方案在当前临床公认的“密集蒽环类序贯周疗紫杉醇”标准治疗方案基础上,加入卡铂药物进行强化治疗,试验组患者的三年无病生存率相较于对照组的85.8%,提升至92.3%,复发风险相对降低36%,绝对值提升6.5个百分点,三年总生存率更是高达98.0%。
该研究为全球早期三阴性乳腺癌患者精准治疗提供了“中国方案”,推动早期三阴性乳腺癌治疗从‘均质化化疗’迈向‘基于精准风险分层的强化治疗’新时代。

新闻链接:
https://news.fudan.edu.cn/2025/1224/c2474a147900/page.htm
原文链接:
https://doi.org/10.1136/bmj-2025-085457
5.复旦脑脊接口技术获FDA“突破性疗法”认定,推进临床转化进程
2025年12月,复旦大学类脑智能科学与技术研究院副研究员加福民团队联合复旦大学附属中山医院、华山医院,由复旦成果转化公司“神复健行”研制的脑脊接口产品脑脊接口(Brain-Spine Interface)技术,作为首例国内同类医疗器械,正式进入美国食品药品监督管理局(FDA)“突破性疗法”通道。该通道聚焦于“解决未被满足的重大临床需求”且“具备显著技术优势”的医疗器械。此前,团队已于2025年3月完成多例临床验证手术,患者在微创植入电极并结合人工智能辅助训练后恢复行走能力。而该技术进入FDA“突破性疗法通道”,不仅是对其技术创新性的国际权威认可,更为中国脑脊接口领域迈向世界舞台,打开了一扇加速之门。

新闻链接:
https://mp.weixin.qq.com/s/1ADGQ2Y8Mk9sGxY5gfstqg
来 源
科学技术研究院
组 稿
校融媒体中心
责 编
邓晗